
3rd March 2026 Rising carbon dioxide is altering human blood chemistry New research analysing two decades of health data finds that serum bicarbonate levels are increasing in parallel with atmospheric CO₂. If the current trend continues, key blood markers could approach unhealthy limits within 50 years.
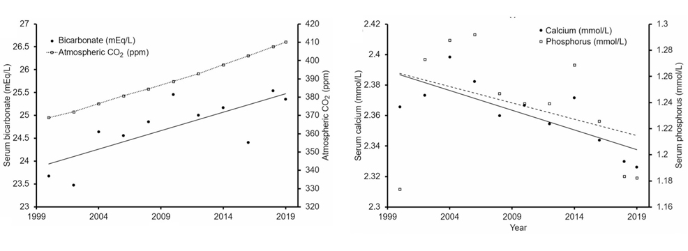
A study published in Air Quality, Atmosphere & Health has identified a measurable shift in human blood chemistry over the past two decades, closely tracking the rise in atmospheric carbon dioxide (CO₂). Analysing data from the US National Health and Nutrition Examination Survey (NHANES) between 1999 and 2020, researchers found that average serum bicarbonate levels increased by around 7% during this period. Over the same timeframe, atmospheric CO₂ rose from roughly 369 parts per million (ppm) to more than 410 ppm, suggesting a parallel trend between environmental exposure and internal physiology. Bicarbonate plays a central role in transporting carbon dioxide through the bloodstream and buffering blood pH. In healthy adults, venous bicarbonate typically sits within an accepted range of 22 to 30 milliequivalents per litre (mEq/L). The study found that average levels increased from 23.8 mEq/L in 1999 to 25.3 mEq/L in 2020. If the current rate of increase continues – estimated at roughly 0.34% per year – population averages could approach the upper limit of the healthy range by the year 2076. In other words, within 50 years. At the same time, the researchers observed gradual declines in serum calcium and phosphorus, both essential for bone integrity, cellular function and energy metabolism. Extrapolating the observed trends suggests that calcium could approach the lower end of its healthy range by the year 2099, with phosphorus potentially reaching the minimum threshold by 2085. These projections assume linear trends and carry uncertainty, but they raise important questions about long-term physiological adaptation to a changing atmosphere.
The human body tightly regulates acid–base balance through buffers, the lungs and the kidneys. When carbon dioxide levels rise, ventilation and the bicarbonate buffer system counter the drop in pH, and over time the kidneys increase acid excretion and conserve bicarbonate; in sustained acidosis, bone may also contribute buffering, potentially at the cost of mineral loss. However, prolonged compensation may not be biologically neutral. Previous experimental studies have linked elevated CO₂ exposure – even at levels commonly found indoors – to oxidative stress, inflammation, altered kidney function and subtle cognitive effects. Some researchers have also explored possible impacts on anxiety, neural signalling and protein function, although the long-term consequences of lifetime exposure to moderately elevated atmospheric CO₂ remain poorly understood. It is important to note that this study identifies correlations and population-level trends, not definitive proof of causation. Many factors influence blood chemistry, and the authors acknowledge uncertainties in measurement and modelling. Nevertheless, the alignment between atmospheric CO₂ and blood bicarbonate levels over two decades is striking. For most of human evolution, atmospheric carbon dioxide remained below 300 ppm. It now exceeds 429 ppm and continues to rise at more than 2 ppm per year. The broader implication is that climate change is not only altering ecosystems and weather patterns, but may also be subtly influencing human physiology. If the rise in CO₂ persists through the 21st century, the cumulative exposure of children born today could differ markedly from that of earlier generations. "I actually think that what we are seeing is because our bodies are not adapting," explained Dr Phil Bierwirth of the Australian National University. "It appears we are adapted to a range of CO₂ in the air that may now have been surpassed. The normal range maintains a delicate balance between how much CO₂ is in the air, our blood pH, our breathing rate and bicarbonate levels in the blood. As CO₂ in the air is now higher than humans have ever experienced, it appears to be building up in our bodies." There is, however, a pathway that could alter this trajectory. Rapid decarbonisation – via the expansion of clean energy, electrification of transport and improved energy efficiency – has the potential to slow and eventually stabilise atmospheric CO₂ growth. Global investment in these areas continues to gather momentum, and most major economies have committed to net-zero targets in the coming decades. Whether these efforts proceed fast enough remains uncertain, but the findings of this study add a further dimension to the urgency of reducing emissions – not only for planetary stability, but for long-term human health.
Comments »
If you enjoyed this article, please consider sharing it:
|
||||||